哈佛科学家声称数学公式证明了上帝的存在

近日,哈佛大学一位天体物理学家提出,一个数学公式支持宇宙背后有一种有意设计的观点,表明存在一种更高的力量,这引发了一场争论。
天体物理学家和航空航天工程师威利·孙博士在最近的一次采访中讨论了微调的论点,他引用了物质和反物质之间的不对称性作为故意创造的证据。
微调论认为,宇宙的物理定律和条件是为了生命的存在而精确平衡的——如果听凭运气,这种结果被认为是极不可能的。
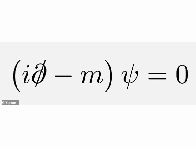
Soon博士引用了被称为“反物质之父”的剑桥物理学家保罗·狄拉克(Paul Dirac),他在1928年意外地预言了反物质的存在——比反物质在1932年被发现早了四年。狄拉克一直在试图解决量子力学和相对论中的矛盾,他提出了一个方程,其中包含了一个以前未知的粒子。
宇宙中物质和反物质的不平衡在现代物理学中仍然是一个谜。如果两者的数量相等,它们就会相互湮灭,不会留下恒星、星系或生命。Soon博士认为,如此精确的条件表明这是一种有意的设计,而不是随机的混乱。
狄拉克本人后来提出,数学和物理暗示着更高的智慧,他在1963年写了一篇著名的文章:“上帝是一位非常高级的数学家”,他用高等数学构建了宇宙。
其他学者,包括理查德·斯温伯恩和罗宾·柯林斯,已经扩展了微调的论点,指出引力的强度,质子-电子质量比和宇宙常数作为宇宙精确平衡的额外例子。
斯威本和柯林斯认为,即使引力或宇宙常数的微小变化也可能阻止星系、恒星和行星的形成,或者导致宇宙过早坍缩。同样,基础化学的变化可能使DNA等复杂分子的形成变得不可能。
这场讨论重新点燃了科学与宗教之间长期以来的争论,支持者认为数学和物理学继续揭示了宇宙结构中设计的迹象。

近日,哈佛大学一位天体物理学家提出,一个数学公式支持宇宙背后有一种有意设计的观点,表明存在一种更高的力量,这引发了一场争论。
天体物理学家和航空航天工程师威利·孙博士在最近的一次采访中讨论了微调的论点,他引用了物质和反物质之间的不对称性作为故意创造的证据。
微调论认为,宇宙的物理定律和条件是为了生命的存在而精确平衡的——如果听凭运气,这种结果被认为是极不可能的。
Soon博士引用了被称为“反物质之父”的剑桥物理学家保罗·狄拉克(Paul Dirac),他在1928年意外地预言了反物质的存在——比反物质在1932年被发现早了四年。狄拉克一直在试图解决量子力学和相对论中的矛盾,他提出了一个方程,其中包含了一个以前未知的粒子。
宇宙中物质和反物质的不平衡在现代物理学中仍然是一个谜。如果两者的数量相等,它们就会相互湮灭,不会留下恒星、星系或生命。Soon博士认为,如此精确的条件表明这是一种有意的设计,而不是随机的混乱。
狄拉克本人后来提出,数学和物理暗示着更高的智慧,他在1963年写了一篇著名的文章:“上帝是一位非常高级的数学家”,他用高等数学构建了宇宙。
其他学者,包括理查德·斯温伯恩和罗宾·柯林斯,已经扩展了微调的论点,指出引力的强度,质子-电子质量比和宇宙常数作为宇宙精确平衡的额外例子。
斯威本和柯林斯认为,即使引力或宇宙常数的微小变化也可能阻止星系、恒星和行星的形成,或者导致宇宙过早坍缩。同样,基础化学的变化可能使DNA等复杂分子的形成变得不可能。
这场讨论重新点燃了科学与宗教之间长期以来的争论,支持者认为数学和物理学继续揭示了宇宙结构中设计的迹象。